Two-Species Logistic Model
The code included in this example is compiled into a single file here.
The two-species logistic model with a Gaussian data distribution [5] has the following differential equations for the population densities of the two species $C_1(t)\geq0$ and $C_2(t)\geq0$ :
\[ \frac{\mathrm{d}C(t)}{\mathrm{d}t} = \lambda_1 C_1(t) \Bigg[1-\frac{S(t)}{K}\Bigg],\]
\[ \frac{\mathrm{d}C(t)}{\mathrm{d}t} = \lambda_2 C_2(t) \Bigg[1-\frac{S(t)}{K}\Bigg] - \delta C_2(t) \Bigg[\frac{C_1(t)}{K}\Bigg],\]
where $S(t) = C_1(t)+C_2(t)$, and the full parameter vector is given by $\theta = (\lambda_1, \lambda_2, K, \delta, C_1(0), C_2(0), \sigma)$. The corresponding additive Gaussian data distribution, with an estimated standard deviation, has a density function for the observed data given by:
\[ y_i \sim p(y_i ; \theta) \sim \mathcal{N}(z_i(\theta^M), \theta^\textrm{o} \mathbb{I}) \sim \mathcal{N}(z_i(\theta^M), \sigma^2_N \mathbb{I}) ,\]
where $\theta^M = (\lambda_1, \lambda_2, K, \delta, C_1(0), C_2(0))$, $\theta^\textrm{o} = \sigma$, $z_i(\theta^M)=z(t_i; \theta^M) = (C_1(t_i; \theta^M), C_2(t_i; \theta^M))$ from the previous equations, meaning at each $t_i$ we have an observation of both $C_1(t)$ and $C_2(t)$, $y_i^\textrm{o}=(C_{1,\,i}^\textrm{o}, C_{2,\,i}^\textrm{o})$, and $\mathbb{I}$ is a $2\times2$ identity matrix.
This model uses real data, so no 'true' parameter values exist. Instead, the MLE values of parameters are used for coverage simulations $\hat{\theta} =(0.00293, 0.00315, 0.00164, 78.8, 0.289, 0.0293, 1.83)$. The corresponding lower and upper parameter bounds are $a = (0.0001, 0.0001, 0, 60, 0.01, 0.001, 0.1)$ and $b = (0.01, 0.01, 0.01, 90, 1, 1, 3)$; the lower bounds for all the parameters apart from $\delta$ were zero [5] but were increased slightly to increase stability. Observation times are $t_{1:I} = (0, 769, 1140, 1488, 1876, 2233, 2602, 2889, 3213, 3621, 4028)$. Smaller nuisance parameter bounds are used for univariate profiles, although they are wider than those used in [5]: $a_{\text{nuisance},j} =\max(a_j,\, \hat{\theta}_j\div2.5 ), \, j \in 1,2,...,7$ and $b_{\text{nuisance},j} =\min(b_j,\, \hat{\theta}_j\times2.5 ), \, j \in 1,2,...,7$. The original implementation can be found at https://github.com/ProfMJSimpson/profile_predictions.
Real observations, the MLE model trajectory and the MLE 95% population reference set under this parameterisation can be seen in the figure below (site 2 data is used):

With Logit-Normal Data Distribution
If we instead use a more statistically realistic logit-normal distribution, defined on (0,1), instead of an additive Gaussian data distribution, the density function for the observed data becomes:
\[ y_i \sim \text{LogitNormal}(\text{logit}(z_i(\theta^M)), \sigma^2\mathbb{I}).\]
where $\theta^M = (\lambda_1, \lambda_2, K, \delta, C_1(0), C_2(0))$, $\theta^\textrm{o} = \sigma$ and $\text{logit}(p)=\log(p\div (1-p))$. The model trajectory, $z_i(\theta^M)$, is assumed to be a proportion $\in (0,1)$.
The 'true' parameter values used for coverage simulations are similar to the MLE values of the parameters when using this data distribution, albeit with a lower value of $\sigma$: $\theta = (0.003, 0.0004, 0.0004, 80.0, 0.4, 1.2, 0.1)$. Parameter bounds have been adjusted slightly to $a = (0.0005, 0.00001, 0.00001, 60, 0.01, 0.1, 0.01)$ and $b = (0.01, 0.005, 0.005, 98, 2, 3, 1)$ and no 'special' nuisance parameter bounds are specified.
For coverage testing of predictive quantities using the sampled full parameter confidence set, we use much more well-informed parameter bounds that may be overly constrained: $a_\text{sampling} = (0.0022, 0.00001, 0.0001, 73, 0.25, 0.7, 0.03)$ and $b_\text{sampling} = (0.0036, 0.001, 0.0009, 85, 0.65, 2, 0.2)$.
Example observations, the true model trajectory and the 95% population reference set under this parameterisation can be seen in the figure below:

Initial Setup
Here we add 10 worker processes, given a PC with 12 CPU threads and 32GB RAM. For coverage testing we recommend setting this number as discussed in Distributed Environment Setup. We also use LogExpFunctions to define the logit function.
using Distributed
if nprocs()==1; addprocs(10, env=["JULIA_NUM_THREADS"=>"1"]) end
@everywhere using Random, Distributions, DifferentialEquations
@everywhere using LogExpFunctions
@everywhere using LikelihoodBasedProfileWiseAnalysis
using CombinatoricsModel and Likelihood Function Definition
Here, we will use the logit-normal data distribution. The Gaussian distribution can be used by changing the distribution used in the log-likelihood function, as seen for the Logistic Model and Lotka-Volterra Model examples.
The logit-normal distribution expects a proportion and our data and model produce a percentage so we are required to divide these through by 100.
In our ODE solver, we define the type of tspan using eltype. This is required to enable automatic differentiation to work correctly on the ODE; we use this for computing the Fisher Information Matrix. For more information see Native Julia solvers compatibility with autodifferentiation.
@everywhere function DE!(dC, C, p, t)
λ1, λ2, δ, KK = p
S = C[1] + C[2]
dC[1] = λ1 * C[1] * (1.0 - S/KK)
dC[2] = λ2 * C[2] * (1.0 - S/KK) - δ*C[2]*C[1]/KK
end
@everywhere function odesolver(t, λ1, λ2, δ, KK, C01, C02)
p=(λ1, λ2, δ, KK)
C0=[C01, C02]
tspan=eltype(p).((0.0, maximum(t)))
prob=ODEProblem(DE!, C0, tspan, p)
sol=solve(prob, saveat=t)
return sol[1,:], sol[2,:]
end
@everywhere function ODEmodel(t, θ)
(y1, y2) = odesolver(t, θ[1], θ[2], θ[3], θ[4], θ[5], θ[6])
return y1, y2
end
@everywhere function loglhood(θ, data)
(y1, y2) = ODEmodel(data.t, θ)
e=0.0
for i in axes(data.y_obs,1)
e += (loglikelihood(LogitNormal(logit(y1[i]/100.), θ[7]), data.y_obs[i,1]/100.) +
loglikelihood(LogitNormal(logit(y2[i]/100.), θ[7]), data.y_obs[i,2]/100.))
end
return e
endInitial Data and Parameter Definition
# true data
t=[0, 769, 1140, 1488, 1876, 2233, 2602, 2889, 3213, 3621, 4028]
data11=[0.748717949, 0.97235023, 5.490243902, 17.89100529, 35, 56.38256703, 64.55087666, 66.61940299, 71.67362453, 80.47179487, 79.88291457]
data12=[1.927065527, 0.782795699, 1.080487805, 2.113227513, 3.6, 2.74790376, 2.38089652, 1.8, 0.604574153, 1.305128205, 1.700502513]
# true parameters used for coverage testing
θ_true = [0.003, 0.0004, 0.0004, 80.0, 0.4, 1.2, 0.1]
y_true = hcat(ODEmodel(t, θ_true)...)
# Named tuple of all data required within the log-likelihood function
data = (y_obs=hcat(data11,data12), t=t)
# Bounds on model parameters
lb_sample = [0.0022, 0.00001, 0.0001, 73.0, 0.25, 0.7, 0.03]
ub_sample = [0.0036, 0.001, 0.0009, 85., 0.65, 2.0, 0.2]
lb = [0.0005, 0.00001, 0.00001, 60.0, 0.01, 0.1, 0.01]
ub = [0.01, 0.005, 0.005, 98.0, 2.0, 3.0, 1.0]
λ1g=0.002; λ2g=0.002; δg=0.001; KKg=80.0; C0g=[1.0, 1.0]; σg=0.5
θG = [λ1g, λ2g, δg, KKg, C0g[1], C0g[2], σg]
θnames = [:λ1, :λ2, :δ, :K, :C01, :C02, :σ]
par_magnitudes = [0.001, 0.001, 0.001, 10, 1, 1, 1]LikelihoodModel Initialisation
Here we define a single LikelihoodModel for sampling and profiling of parameter confidence sets.
opt_settings = create_OptimizationSettings(solve_kwargs=(maxtime=5,))
model = initialise_LikelihoodModel(loglhood, data, θnames, θG, lb, ub, par_magnitudes, optimizationsettings=opt_settings)Full Parameter Vector Confidence Set Evaluation
To evaluate the full parameter vector confidence set at a 95% confidence level we use the following. Note the use of the lb and ub keyword arguments to specify the parameter ranges to sample points across.
full_likelihood_sample!(model, Int(1e7), use_distributed=true, lb=lb_sample, ub=ub_sample)Profiling
Univariate Profiles
To find the confidence intervals for all seven parameters at a 95% confidence level (the default), we use:
univariate_confidenceintervals!(model)Similarly, if we wish to find simultaneous 95% confidence intervals for the parameters we set the degrees of freedom parameter, dof, to the number of model parameters (instead of 1).
univariate_confidenceintervals!(model, dof=model.core.num_pars) # model.core.num_pars=7Bivariate Profiles
To evaluate the bivariate boundaries for all 21 bivariate parameter combinations, here we use the RadialMLEMethod, which uses a 20 point ellipse approximation of the boundary as a starting guess. The boundaries in this example are reasonably convex, which makes this starting guess appropriate. To speed up computation we provide stronger optimization settings.
opt_settings = create_OptimizationSettings(solve_kwargs=(maxtime=5, xtol_rel=1e-12))
bivariate_confidenceprofiles!(model, 20,
method=RadialMLEMethod(0.15, 0.01),
optimizationsettings=opt_settings)Similarly, if we wish to evaluate simultaneous 95% bivariate profiles we set the degrees of freedom parameter, dof, to the number of model parameters (instead of 2).
opt_settings = create_OptimizationSettings(solve_kwargs=(maxtime=5, xtol_rel=1e-12))
bivariate_confidenceprofiles!(model, 20,
method=RadialMLEMethod(0.15, 0.01),
dof=model.core.num_pars,
optimizationsettings=opt_settings)Plots of Profiles
To visualise plots of these profiles we load Plots alongside a plotting backend. Here we use GR.
using Plots, Plots.PlotMeasures; gr()
Plots.reset_defaults(); Plots.scalefontsizes(0.75)Univariate and bivariate profiles can either be visualised individually or in comparison to profiles at the same confidence level and degrees of freedom.
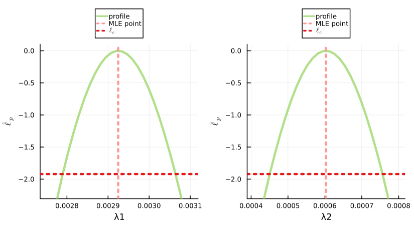
Here we plot the first two univariate profiles formed at a 95% confidence level and 1 degree of freedom.
plts = plot_univariate_profiles(model, θs_to_plot=[1,2],
confidence_levels=[0.95], dofs=[1])
plt = plot(plts..., layout=(1,2),
legend=:outertop, title="", dpi=150, size=(550,300), margin=1mm)
display(plt)
Similarly, here we plot the first two simultaneous bivariate profiles formed at a 95% confidence level and 7 degrees of freedom.
plts = plot_bivariate_profiles(model, θcombinations_to_plot=[[1,2], [1,3]],
confidence_levels=[0.95], dofs=[model.core.num_pars])
plt = plot(plts..., layout=(1,2),
legend=:outertop, title="", dpi=150, size=(550,300), margin=1mm)
display(plt)
Predictions
To make predictions for the model trajectory and the $1-\delta$ population reference set we define the following functions, which then need to be added to our LikelihoodModel. The region variable in errorfunction should be set equal to $1-\delta$ when generating predictions. These could also be added in initialise_LikelihoodModel.
@everywhere function predictfunction(θ, data, t=data.t)
y1, y2 = ODEmodel(t, θ)
y = hcat(y1,y2)
return y
end
@everywhere function errorfunction(predictions, θ, region)
lq, uq = logitnormal_error_σ_estimated(predictions ./ 100, θ, region, 7)
lq .= lq .* 100
uq .= uq .* 100
return lq, uq
end
add_prediction_function!(model, predictfunction)
add_error_function!(model, errorfunction)To generate profile-wise predictions for each of the evaluated profiles we first define the desired time points for prediction and then evaluate the approximate model trajectory confidence sets and $(1-\delta, 1-\alpha)$ population reference tolerance sets. By default, the population reference tolerance set evaluates reference interval regions at the same level as the default confidence level ($1-\delta = 1-\alpha = 0.95$); however, this is not required.
t_pred=LinRange(t[1], t[end], 201)
generate_predictions_univariate!(model, t_pred)
generate_predictions_bivariate!(model, t_pred)
generate_predictions_dim_samples!(model, t_pred) # for the full likelihood samplePlotting Predictions
We can plot the predictions of individual profiles or the union of all profiles at a given number of interest parameters, confidence level, degrees of freedom and reference interval region (if relevant). When plotting the union of these predictions we can compare it to the result of the full likelihood sample, which here used LatinHypercubeSamples, the default. Here we plot the results from simultaneous profiles.
Model Trajectory
using Plots; gr()
model_trajectory = ODEmodel(t_pred, θ_true)plt = plot_predictions_union(model, t_pred, 1, dof=model.core.num_pars,
compare_to_full_sample_type=LatinHypercubeSamples(), plot_title="") # univariate profiles
plot!(plt; dpi=150, size=(450, 300), xlims=(t_pred[1], t_pred[end]))
plot!(plt[1], t_pred, model_trajectory[1],
lw=3, color=:turquoise4, linestyle=:dash)
plot!(plt[2], t_pred, model_trajectory[2],
label="True model trajectory", lw=3, color=:turquoise4, linestyle=:dash)
plt = plot_predictions_union(model, t_pred, 2, dof=model.core.num_pars,
compare_to_full_sample_type=LatinHypercubeSamples(), plot_title="") # bivariate profiles
plot!(plt; dpi=150, size=(450, 300), xlims=(t_pred[1], t_pred[end]))
plot!(plt[1], t_pred, model_trajectory[1],
lw=3, color=:turquoise4, linestyle=:dash)
plot!(plt[2], t_pred, model_trajectory[2],
label="True model trajectory", lw=3, color=:turquoise4, linestyle=:dash)
$1-\delta$ Population Reference Set
using Plots; gr()
lq, uq = errorfunction(hcat(ODEmodel(t_pred, θ_true)...), θ_true, 0.95)plt = plot_realisations_union(model, t_pred, 1, dof=model.core.num_pars,
compare_to_full_sample_type=LatinHypercubeSamples(), plot_title="") # univariate profiles
plot!(plt, t_pred, lq, fillrange=uq, fillalpha=0.3, linealpha=0,
label="95% population reference set", color=palette(:Paired)[1])
scatter!(plt, data.t, data.y_obs, label="Observations", msw=0, ms=7, color=palette(:Paired)[3],
xlims=(t_pred[1], t_pred[end]), dpi=150, size=(450, 300))
plt = plot_realisations_union(model, t_pred, 2, dof=model.core.num_pars,
compare_to_full_sample_type=LatinHypercubeSamples(), plot_title="") # bivariate profiles
plot!(plt, t_pred, lq, fillrange=uq, fillalpha=0.3, linealpha=0,
label="95% population reference set", color=palette(:Paired)[1])
scatter!(plt, data.t, data.y_obs, label="Observations", msw=0, ms=7, color=palette(:Paired)[3],
xlims=(t_pred[1], t_pred[end]), dpi=150, size=(450, 300))
Coverage Testing
To conduct an investigation into the coverage properties of the profiles and profile-wise predictions sets we can perform a simulation study using the provided coverage functions. The procedures are effectively identical to those used for the Logistic Model; the commentary for that example remains similar for this example, however coverage may be lower than expected due to too few observations.
The computational time of several of the below tests is up to 4 hrs with 10 worker processes on the author's pc.
Data Generation
First we define functions and arguments which we use to simulate new training and testing data, and evaluate the true $1-\delta$ population reference set, given the true parameter values.
# DATA GENERATION FUNCTION AND ARGUMENTS
@everywhere function data_generator(θtrue, generator_args::NamedTuple)
y_obs = zeros(size(generator_args.y_true))
for i in eachindex(generator_args.y_true)
y_obs[i] = rand(LogitNormal(logit(generator_args.y_true[i]/100.), θtrue[7]))
end
y_obs .= y_obs .* 100
if generator_args.is_test_set; return y_obs end
data = (y_obs=y_obs, generator_args...)
return data
end
@everywhere function reference_set_generator(θtrue, generator_args::NamedTuple, region::Float64)
lq, uq = errorfunction(generator_args.y_true, θtrue, region)
return (lq, uq)
end
training_gen_args = (y_true=y_true, t=t, is_test_set=false)
testing_gen_args = (y_true=predictfunction(θ_true, data, t_pred), t=t_pred, is_test_set=true)Parameter Confidence Intervals
Coverage of parameter confidence intervals:
opt_settings = create_OptimizationSettings(solve_kwargs=(maxtime=5, xtol_rel=1e-12))
uni_coverage_df = check_univariate_parameter_coverage(data_generator,
training_gen_args, model, 1000, θ_true, collect(1:model.core.num_pars),
optimizationsettings=opt_settings)Bivariate Profiles
Coverage of the true value of each set of bivariate interest parameters:
opt_settings = create_OptimizationSettings(solve_kwargs=(maxtime=5, xtol_rel=1e-12))
biv_coverage_df = check_bivariate_parameter_coverage(data_generator,
training_gen_args, model, 1000, 30, θ_true,
collect(combinations(1:model.core.num_pars, 2)),
method = RadialMLEMethod(0.15, 0.1),
optimizationsettings=opt_settings)Coverage of the true bivariate boundary. 2000 samples corresponds to around 100-200 retained points:
opt_settings = create_OptimizationSettings(solve_kwargs=(maxtime=5, xtol_rel=1e-12))
biv_boundary_coverage_df = check_bivariate_boundary_coverage(data_generator,
training_gen_args, model, 100, 30, 2000, θ_true,
collect(combinations(1:model.core.num_pars, 2));
method = RadialMLEMethod(0.15, 0.1),
coverage_estimate_quantile_level=0.9,
optimizationsettings=opt_settings)Prediction Coverage
Model Trajectory
To test the coverage of the true model trajectory we can use check_dimensional_prediction_coverage, check_univariate_prediction_coverage and check_bivariate_prediction_coverage. Again we use the default 95% confidence level here. Given a sufficient number of sampled points we expect the model trajectory coverage from the trajectory confidence set from propagating forward the full parameter vector 95% confidence set to have 95% simultaneous coverage.
On versions of Julia earlier than 1.10, we recommend setting the kwarg, manual_GC_calls, to true in each of the coverage functions. Otherwise the garbage collector may not successfully free memory every iteration leading to out of memory errors.
opt_settings = create_OptimizationSettings(solve_kwargs=(maxtime=5, xtol_rel=1e-12))
full_trajectory_coverage_df = check_dimensional_prediction_coverage(data_generator,
training_gen_args, t_pred, model, 200, Int(1e7),
θ_true, [collect(1:model.core.num_pars)], lb=lb_sample, ub=ub_sample)
uni_trajectory_coverage_df = check_univariate_prediction_coverage(data_generator,
training_gen_args, t_pred, model, 1000,
θ_true, collect(1:model.core.num_pars),
optimizationsettings=opt_settings)
biv_trajectory_coverage_df = check_bivariate_prediction_coverage(data_generator,
training_gen_args, t_pred, model, 1000, 30, θ_true,
collect(combinations(1:model.core.num_pars, 2)),
method=RadialMLEMethod(0.15, 0.1),
optimizationsettings=opt_settings)Repeating the coverage of univariate and bivariate profiles using the profile path approach:
uni_trajectory_coverage_df = check_univariate_prediction_coverage(data_generator,
training_gen_args, t_pred, model, 1000,
θ_true, collect(1:model.core.num_pars),
dof=model.core.num_pars,
optimizationsettings=opt_settings)
biv_trajectory_coverage_df = check_bivariate_prediction_coverage(data_generator,
training_gen_args, t_pred, model, 1000, 30, θ_true,
collect(combinations(1:model.core.num_pars, 2)),
dof=model.core.num_pars,
method=RadialMLEMethod(0.15, 0.1),
optimizationsettings=opt_settings)$1-\delta$ Population Reference Set and Observations
To test the coverage of the $1-\delta$ population reference set as well as observations we can use check_dimensional_prediction_realisations_coverage, check_univariate_prediction_realisations_coverage and check_bivariate_prediction_realisations_coverage. Here we will only look at the coverage for simultaneous profiles.
On versions of Julia earlier than 1.10, we recommend setting the kwarg, manual_GC_calls, to true in each of the coverage functions. Otherwise the garbage collector may not successfully free memory every iteration leading to out of memory errors.
full_reference_coverage_df = check_dimensional_prediction_realisations_coverage(data_generator,
reference_set_generator, training_gen_args, testing_gen_args, t_pred, model, 200, Int(1e7),
θ_true, [collect(1:model.core.num_pars)], lb=lb_sample, ub=ub_sample)
uni_reference_coverage_df = check_univariate_prediction_realisations_coverage(data_generator,
reference_set_generator, training_gen_args, testing_gen_args, t_pred, model, 1000,
θ_true, collect(1:model.core.num_pars),
dof=model.core.num_pars,
optimizationsettings=opt_settings)
biv_reference_coverage_df = check_bivariate_prediction_realisations_coverage(data_generator,
reference_set_generator, training_gen_args, testing_gen_args, t_pred, model, 1000, 30, θ_true,
collect(combinations(1:model.core.num_pars, 2)),
dof=model.core.num_pars,
method=RadialMLEMethod(0.15, 0.1),
optimizationsettings=opt_settings)